一建港口与航道案例线
栏目:行业动态 发布时间:2026-01-27
分享到:
  某海港3万吨级高桩梁板码头,位于有掩护水域,设计使用年限为50年,设计结构断面见图1。码头桩基采用钢管桩,材质为Q345B,钢材的单面年平均腐蚀速度

  某海港3万吨级高桩梁板码头,位于有掩护水域,设计使用年限为50年,设计结构断面见图1。码头桩基采用钢管桩,材质为Q345B,钢材的单面年平均腐蚀速度见表1。钢管桩采用牺牲阳极阴极保护与涂层联合防腐蚀措施(保护效率为90%),防腐有效使用年限为25年,码头横梁、纵梁、靠船构件和面板均为预制构件,桩帽节点混凝土为现浇。

  1、写出图1中编号所指的构件名称。2、写出图1中编号所指构件之间的先后施工顺序。

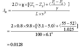
  某海港围填造地工程分两期实施,总投资约55亿元,一期工程由围堤和A区吹砂工程组成,二期工程为B区吹砂工程,其中一期工程已完成,二期工程即将开工,合同工期为30个月。项目部在编制施工组织设计时计算得出B区吹填容积量为2500万m³、原地基沉降量310万m³;合同超填工程量100万m³。一、二期工程指定的取砂区范围为10km×30km,初始底高程为-15~-20m(当地理论深度基准面,下同),取砂区至储砂区的平均运距为16海里,土质为松散细砂,天然密度为1.785t/m³。当地平均高潮位+2.5m,平均低潮位+1.0m,海水密度1.025t/m³。

  二期工程沿用一期工程的10000m³耙吸挖泥船挖运砂,其船舶性能参数见表2。运砂航线水深满足全线无候潮通行,采用挖-运-抛工艺将挖出的砂抛到储砂区,再由绞吸船吹填至B区。本地区航道交通繁忙,施工干扰多,且风、浪和雾影响取砂挖泥船的时间利用率。根据一期工程统计:吹填流失率为3%;储砂区流失率为6%;耙吸挖泥船挖泥上线及装满一舱的平均时间为1h,抛砂及掉头时间为24min,本型耙吸挖泥船时间利用率平均为60%。

  1、画出本工程挖泥船取砂的主要施工工艺流程图。2、写出耙吸挖泥船时间利用率计算公式,并说明公式中各项的含义。

  最佳装舱时间应根据泥沙在泥舱内的沉淀时间、挖槽长短、航行到抛泥区的距离和航速,按装舱量与每舱循环时间之比达到最大值的方法确定。

  某抛石斜坡防波堤,堤长1187m,最大水深约7m,堤身建于淤泥质软基上,淤泥层平均厚度13.4m。防波堤采用爆破挤淤施工工艺,堤心设计断面填方总量150万m³。施工水域附近有游泳、潜水捕捞和施工船舶作业,爆破作业时要确保其处于安全距离以外。项目部根据爆破排淤设计和试验段典型施工,确定一次爆破炸药量Q为1331kg,并根据《水运工程爆破技术规范》JTS 204-2008,对区域内游泳、潜水、施工船舶(木船、铁船)的安全距离进行了计算,水中冲击波的最小安全允许距离计算公式:RH=K0×Q1/3,K0值见表3。爆破施工前,项目部申请发布了爆破通告。起爆前,分别对陆上和水上的相关区域进行了安全警戒,禁止人员和船舶进入爆破影响区。

  1、写出爆破排淤填石法形成抛石堤的三个过程。2、写出爆破通告应包括的内容。计算并确定本工程爆破作业时的最小安全警戒距离并说明理由。

  某沿海港口港池疏浚与吹填工程,设计疏浚底标高为-13.5m(当地理论深度基准面,下同)、设计疏浚边坡坡度为1∶2.5、设计疏浚工程量为520万m³,无备淤深度,疏浚土全部吹填到码头后方吹填区,平均吹距为2.7km。疏浚土质自上而下分别为中粗砂和强风化岩,中粗砂的标准贯入击数N=35、天然重度γ=19.7kN/m³,强风化岩的单轴饱和抗压强度RC≤5MPa。吹填区位于有掩护海域,其面积为1.5k㎡,设计吹填标高为+6.5m;围埝选用抛石围埝,属于临时工程,围埝总长为4.5km、顶宽为3.0m、外坡设计边坡坡度为1∶2、内坡设计边坡坡度为1∶1.5,围埝内侧铺设混合倒滤层。针对本工程的特点和疏浚土处理要求,选用一艘公称生产率为3500m³/h绞吸挖泥船直接吹填的方式施工,绞吸挖泥船采用锚杆抛锚的钢桩横挖法挖泥,水上管线节胶管的组合方式,陆上管选用内径为φ800mm的钢管;围埝采用水上施工方法进行施工。

  1、疏浚工程的砂土类按工程特性分为哪几级疏浚土?其土级划分的判别指标和辅助指标分别是砂土的哪些物理力学指标?本工程的中粗砂属于哪一级疏浚土?2、绞吸挖泥船挖泥分层厚度应根据哪些因素确定?写出本工程两种疏浚土质分层厚度宜取的绞刀直径倍数范围和分条宽度确定的原则。

  某斜坡防波堤工程,所处海域每年均会受台风影响,堤身建在软土地基上,堤身下铺设土工织物砂肋软体排,软体排上设置50cm抛石垫层;堤身两侧坡脚设有抛石棱体,外坡采用扭工字块护面,堤身断面结构形式见图5。上部结构属于大体积混凝土,混凝土配合比是每立方米混凝土中:水泥350kg、砂790kg、碎石1040kg、水180kg、UEA膨胀剂40kg、UNF减水剂6.5kg。水泥水化热总量350kJ/kg、混凝土质量密度2400kg/m³、混凝土比热容1.0kJ/(kg·℃)。

  台风季节施工单位按防台施工步距组织堤身和护面块体施工,施工期间遇台风袭击(合同约定的不可抗力),造成堤身结构局部破坏和承包商一台发电机落海报废。台风过后施工单位组织人员、船机设备对堤身损坏部分进行修复,完成了合同约定的工程施工任务。

  提供一建章节习题、历年真题、模拟试题、每日一练、模考大赛、答题闯关等刷题功能,大家可通过刷题,加深巩固,掌握要点,查漏补缺,稳步提升!【进入下载APP刷题】

  一级建造师考点、难点太多记不住?233网校老师带你读薄教材,举一反三,学习做题更有效率!点击进入听课